訂閱電子報
環保專責人員在職訓練~經費有限,請及早報名!!~
「環境保護專責及技術人員訓練管理辦法」於109年7月1日修正後,依法設置之各類環保專責人員應於設置(登記)之次年起算2年內應完成在職訓練。經設置(登記)為環保專責人員者,請至國家環境研究院環保訓練管理系統網站(https://record.moenv.gov.tw/NERAWEB/Voucher/wFrmRecent.aspx)「近期開班資訊」點選「在職訓練」,並選取所需類別報名。
為減輕專責人員負擔,現行參訓費用由環境部各類基金支應,專責人員無需另支付訓練費用,本年度若經費用罄,則由參訓學員自行負擔。
其他詳情亦可就近洽下列在職訓練機構:
台灣空氣品質健康安全協會
(02)2761-7811
國立中央大學
(03)422-7151轉34661
財團法人工業技術研究院
(03)591-2571
東海大學
0911-576898
國立雲林科技大學
(05)536-2023
成大研究發展基金會
(06)208-0355
國立中山大學
(07)525-0139
●法定何時要上在職訓練?
依「環境保護專責及技術人員訓練管理辦法」第23條:「經設置或登記為環境保護專責及技術人員者,每2年應完成在職訓練至少6小時,其中政策法規類課程不得少於3小時。
中央主管機關得視需要,調訓環境保護專責及技術人員,其無正當理由者,不得拒絕。
環境保護專責及技術人員因故未能參加前項調訓者,應於報到日前,以書面敘明原因,向中央主管機關申請延訓」。
第23-1條:「前條第1項所定每2年期間,於本辦法中華民國109年7月1日修正施行後,就環境保護專責及技術人員執行業務事實發生年度之次年1月1日起算;修正施行前已設置為環境保護專責及技術人員者,自110年1月1日起算。逐年以年度計算之連續2年,其設置期間未滿1年者,仍以1年計。但逐年以年度計算時,設置年度未連續者,不在此限」。
●舉例說明:
(一)甲自109年9月15日設置或登記為環境保護專責及技術人員,於111年3月15日離職,甲之設置期間,跨越110年、111年二年度,甲應於111年12月31日前完成在職訓練至少6小時。
(二)乙於110年9月15日設置或登記為為環境保護專責及技術人員,於同年12月15日離職,復於111年1月15日設置或登記,於112年12月15日離職,乙之設置期間,跨越111年、112年二年度,乙應於112年12月31日前完成在職訓練至少6小時。
(三)丙自105年9月15日設置為環境保護專責及技術人員,且設置情形持續,丙應自110年1月1日起之2年期間內,即應於111年12月31日前完成在職訓練至少6小時;以此類推,每2年應完成6小時,下次應完成時間為113年12月31日。
樺加沙颱風受災戶可免費申請補發 環境保護專責及技術人員電子合格證書

「環境部淨零綠領人才培育課程」第二場全國測驗 今日寄發成績單 及格率84% 女性成績優於男性
一、引言
在全球工業化進程加速與環境保護意識提升的背景下,水體污染治理與金屬資源回收成為人類社會面臨的重要挑戰。台灣為應對此挑戰,已制定《水污染防治法》作為法規基礎,旨在確保水資源清潔、維護生態體系及增進國民健康。隨著化學品、塑料及有毒污染物大量排放,傳統治理方式已無法有效應對複雜的污染問題。為此,台灣環境部已針對重點河川如淡水河、南崁溪等進行長期整治計畫,在環境部水質保護網河川汙染管理中的重點河川整治部分顯示11條重點河川污染整治工作有顯著改善。Putri等人的研究表明台灣河川污染問題依然嚴峻,透過多變量統計分析技術對14條主要河川進行長期監測,發現二仁溪被確定為全國污染最嚴重的河川,其生化需氧量(6.1 ± 2.38 mg/L)、氨氮(3.48 ± 3.23 mg/L)和總磷酸鹽(0.65 ± 0.38 mg/L)濃度均為14條河川中最高,且所有河川的錳濃度均超過環保署標準限值(0.03 mg/L),另有多條河川的鉛和銅濃度亦超標,顯示出治理工作的艱鉅性。
同時,電子產業、新能源技術及高端製造業快速發展,對稀土元素、貴金屬等關鍵材料的需求激增。台灣作為高度依賴資源進口的經濟體,此類問題尤為突出。陸地礦藏不僅面臨枯竭威脅,其開採過程也造成了嚴重的生態破壞,如森林砍伐與水污染。為此,台灣政府已將「循環經濟」納入「5+2產業創新計畫」中,推動「循環產業化」與「產業循環化」,期望透過資源回收再利用,特別是高價值的金屬材料,來建構永續的產業模式並降低對進口礦產的依賴。從廢棄電子產品中回收黃金、銀、鈀等貴金屬,不僅是環保行動,更被視為維持產業動能與國家競爭力的重要戰略。
海洋作為地球最大的水體系統,蘊藏著豐富的金屬離子資源。稀土元素在海水中的總儲量遠超陸地礦藏,並廣泛應用於高科技產業。此外,海水中還含有鈷、鈀、銀等貴金屬,對電池、催化劑及精密電子器件至關重要。然而,這些金屬離子在海水中的濃度極低,且存在多離子競爭,使分離與回收變得極具挑戰。
傳統技術如化學沉澱、離子交換及溶劑萃取,在低濃度和多離子共存環境中效率不足,且成本高昂並易造成二次污染。特別是在高鹽度的海水中,這些技術的限制更加明顯。
近年來,功能化聚合物吸附技術因操作簡便、能耗低及可重複使用而受到關注。其中,偕胺肟基聚合物因能與金屬離子形成穩定螯合物而展現出優異吸附性能。然而傳統製備多採用輻射接枝,工序繁瑣且成本高。
在此背景下,相關學術研究機構共同研發出偕胺肟羧酸鹽雙官能基螯合纖維技術。這一創新最初針對海水環境設計,用於解決海洋中鈾、稀土與貴金屬的分離回收,後續逐步優化至可應用於淡水及工業廢水治理,擴大了實際使用範圍。
透過56天海水暴露實驗和ICP-MS分析,Pan等人發現所有萃取鑭系元素的分配係數(KD值)按原子序數增加順序呈現線性關係(R² = 0.79),三價鑭系元素的吸附程度與離子電荷密度呈正相關,證實重稀土具有更高吸附優先性,其中釹元素的KD值達(1.80 ± 0.31) × 10⁷,約比鈾高一個數量級。對貴金屬的吸附同樣出色,鈀、銀、鉑等元素均能有效捕獲,鈀金屬表現最為突出,在纖維中濃度達6 mg/kg,分配係數高達(9.90 ± 1.47) × 10⁷,銀和鉑的纖維濃度分別為0.33 mg/kg和0.11 mg/kg。此特性為稀土分離純化及貴金屬回收提供了新的途徑,特別是海洋中鈀總量估計約8.6 × 10⁴噸,顯示重大經濟潛力,而海水淡化廠產生的高礦物濃度鹽水更為這種環境友好的採礦替代方案增添吸引力。
除貴金屬回收外,偕胺肟羧酸雙官能基螯合纖維在重金屬治理方面亦具優勢。例如鈷作為電池材料的重要成分,偕胺肟羧酸雙官能基螯合纖維亦可有效吸附並回收,應用於工業廢水處理及天然水體修復,實現污染治理與資源利用的雙重目標。
針對貴金屬鈀元素之回收,偕胺肟羧酸鹽雙官能基螯合纖維技術具有優異的再生能力。通過開發的溫和洗脫工藝,吸附的金屬離子可在室溫下高效移除,纖維結構保持穩定並可多次循環使用,降低了運行成本並符合綠色化學理念。
偕胺肟羧酸鹽雙官能基螯合纖維技術以海水為最初的研發場域,成功實現了從海洋資源開發到淡水及工業廢水應用的拓展,展現了在金屬離子分離與水體治理領域的巨大潛力,並為未來的水資源管理與污染控制提供了新解決方案。
二、技術機制介紹
偕胺肟羧酸雙官能基螯合纖維是一種創新的高分子吸附材料,其核心技術在於將具有高度選擇性的螯合官能基共價鍵結至高分子纖維骨架上,從而實現對水體中特定金屬離子的精準捕捉與移除。此技術的基礎材料為聚丙烯腈(Polyacrylonitrile,PAN)所製作的纖維,俗稱亞克力纖維(Acrylic Fiber),是一種廣泛應用於紡織產業的合成纖維,具備優異的化學穩定性與機械強度。
偕胺肟羧酸雙官能基螯合纖維的獨特之處在於其表面經過化學改質,導入了兩種關鍵的官能基:偕胺肟基與羧酸基。這兩種官能基協同作用,賦予纖維強大的金屬離子螯合能力。偕胺肟基中的氮原子與氧原子能作為路易斯鹼,提供孤對電子與水體中的金屬離子(路易斯酸)形成穩定的多重配位鍵結。此螯合反應具有高度的選擇性,能先針對特定的目標金屬離子進行吸附,較不會與水體中其他常見的離子(如鈉、鉀、鈣、鎂等)發生明顯作用。
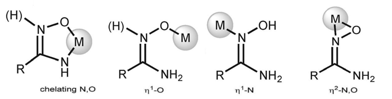
此技術的螯合機制相當多元,已有研究團隊闡述偕胺肟官能基能以不同的配位模式(如 chelating N,O、η¹-O、η¹-N、η²-N,O 等,如圖1所示)與金屬離子結合,形成熱力學上極為穩定的環狀或橋接結構。這種多樣化的配位能力,使得偕胺肟羧酸雙官能基螯合纖維對多種重金屬及貴金屬(如鈾、鑭系元素、金、鈀、銅、鈷、鎳等)均表現出卓越的吸附親和力。一個有趣的現象是,原本白色的偕胺肟羧酸雙官能基螯合纖維在吸附特定金屬離子後,會因形成不同的金屬螯合物而呈現出該金屬錯合物的特有顏色,此特性也為監測吸附狀態提供了一個直觀的視覺指標。

圖1、偕胺肟官能基可能與金屬產生多重配位模式
透過此一獨特的螯合機制,偕胺肟羧酸鹽雙官能基螯合纖維技術不僅能有效淨化水資源,去除有害的重金屬離子,更能從稀釋溶液(如海水、工業廢水)中選擇性地回收高價值的貴金屬與稀土元素,實現資源的循環利用,兼具環境保護與經濟效益的雙重價值。
三、應用成效與案例驗證
偕胺肟羧酸鹽雙官能基螯合纖維技術已有研究顯示,憑藉其卓越的選擇性與高效率,已在多個應用領域展現出巨大的潛力與實用價值。以下將根據提供的研究文獻與實證數據,從海水處理、淡水處理及貴金屬回收三個面向,闡述其具體的應用成效與案例驗證。
3.1 海水處理:從汪洋中開採戰略資源
海水是地球上最龐大的資源庫,但其中有價值的戰略元素(如鈾、稀土元素)濃度極低,傳統的提取方法成本高昂且不具經濟效益。偕胺肟羧酸鹽雙官能基螯合纖維技術為「海水採礦」提供了可行的解決方案。
Pan等人的研究顯示,偕胺肟羧酸雙官能基螯合纖維對海水中的鈾(以鈾醯離子UO₂²⁺形式存在)具有驚人的吸附能力與選擇性,在最佳偕胺肟/羧酸基比例(約1:1)下,該螯合纖維在真實海水中的飽和吸附容量估計為7.73克鈾/公斤吸附劑(20°C),半飽和時間約15.7天,且釩/鈾比例約為1,顯示對鈾的高選擇性。其分配係數(Kd值)可高達10⁷ mL/g,意味著纖維對鈾的親和力遠高於海水中的其他離子。在美國能源部(DOE)的支持下,於太平洋西北國家實驗室(PNNL)進行的實地測試中,將偕胺肟羧酸雙官能基螯合纖維置於流動的海水系統中長達56天,成功從海水中萃取出鈾,驗證了其在真實海洋環境下的長期穩定性與高效吸附性能,該簡單且低成本的合成方法可擴大規模生產螯合纖維,用於從各種水環境中回收金屬,包括從海水中生產鈾。

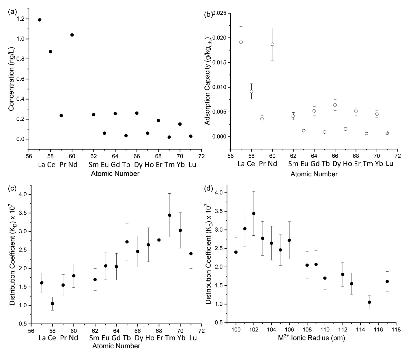
圖2、(a) 西太平洋海水(深度 = 3 公尺)中鑭系元素的濃度。每種稀土元素(REE)的相對標準差(RSD)均 ≤10% [19]。
(b) 在 20 °C 過濾的 Sequim 灣海水中曝露 56 天後的鑭系元素吸附容量。
(c) 壓克力纖維基吸附劑對鑭系元素分配係數(KD)與鑭系元素原子序的關係。
(d) 分配係數(KD)與三價鑭系離子離子半徑的關係(在 (d) 中 Lu³⁺ 位於左側)。
表1、偕胺肟羧酸鹽雙官能基螯合纖維在真實海水中各種金屬元素的分佈係數(Distribution Coefficient)

除了鈾之外,偕胺肟羧酸雙官能基螯合纖維對稀土元(REEs)同樣表現出優異的吸附能力。Pan等人的實驗證明,透過56天海水暴露實驗和ICP-MS分析,該纖維能有效吸附海水中的鑭系元素,所有萃取鑭系元素的分配係數(KD值)按原子序數增加順序呈現線性關(R² = 0.79),其中釹元素的KD值達(1.80 ± 0.31) × 10⁷,約比鈾高一個數量級,且對重稀土元素的吸附能力優於輕稀土元素,這與三價鑭系元素在海水中的吸附程度與鑭系離子電荷密度呈正相關的螯合機制理論相符,重鑭系元素因鑭系收縮效應具有更高的電荷密度,導致與偕胺肟基團形成更強的結合。此技術為從海洋中獲取這些廣泛應用於高科技產業的關鍵原料開闢了新的道路,特別是海洋中稀土元素總量豐富,且海水淡化廠產生的高礦物濃度鹽水為這種環境友好的採礦替代方案增添了特殊的經濟吸引力。
3.2 淡水處理:高效去除工業重金屬污染
工業廢水中的重金屬污染是全球性的環境挑戰。偕胺肟羧酸鹽雙官能基螯合纖維技術提供了一種高效、具選擇性的解決方案,能針對性地去除水體中的有害重金屬離子。
文獻中的數據表明,偕胺肟羧酸雙官能基螯合纖維能有效吸附多種常見的二價金屬離子,包括銅(Cu²⁺)、鎳(Ni²⁺)、鈷(Co²⁺)等。以鈷離子為例,研究指出偕胺肟羧酸雙官能基螯合纖維在數十分鐘內即可達到吸附平衡,顯示(需以方法與數據詳載)其快速的吸附動力學特性〔建議引用處〕。其吸附行為符合 Langmuir 等溫吸附模型,表明其表面的官能基對金屬離子的吸附是均勻的單層吸附,這有利於實現可預測的高吸附容量。
表2、偕胺肟羧酸雙官能基螯合纖維吸附各元素之吸附容量表


圖3、偕胺肟羧酸雙官能基螯合纖維材料對低濃度鈷的吸附

圖4、偕胺肟羧酸雙官能基螯合纖維材料對含高濃度銅、鈀廢水連續吸附脫附試驗
將白色的偕胺肟羧酸雙官能基螯合纖維放入含有不同金屬離子的溶液中,纖維會迅速吸附金屬並呈現出對應金屬螯合物的顏色(如吸附銅後呈藍色,吸附鐵後呈棕黃色),而處理後的溶液則變得清澈。此特性不僅證明了其淨水效果,也使其具備了作為簡易水質監測指示劑的潛力。

圖5、白色的偕胺肟羧酸雙官能基螯合纖維捕獲水體中金屬離子即會顯現該金屬螯合物的顏色
3.3 金、鈀貴金屬處理:實現都市採礦與循環經濟
在電子廢棄物處理與高科技製造業中,回收廢液中的微量貴金屬具有極高的經濟價值。偕胺肟羧酸鹽雙官能基螯合纖維技術在此領域展現了其高度的選擇性與可重複使用的優勢,是實現「都市採礦」(Urban Mining)的關鍵技術。
針對印刷電路板(PCB)產業廢液中的鈀(Palladium, Pd)回收,偕胺肟羧酸雙官能基螯合纖維展現了卓越的性能。鈀是 PCB 製程中的關鍵催化劑,價格昂貴。利用偕胺肟羧酸雙官能基螯合纖維處理含鈀廢液,不僅能高效回收鈀金屬,降低生產成本,吸附飽和後的纖維還可以透過酸洗等方式進行再生,將回收的鈀濃縮提純,而纖維本身則可重複使用於下一輪的吸附,大幅提升了整個回收流程的經濟效益。

圖6、鈀金回收流程圖

圖7、鈀金吸附實驗照片與吸附動力學曲線

圖8、鈀金脫附實驗照片與重複使用性能圖
表3、每公斤纖維金屬吸附量表

表4、各種金屬元素與偕胺肟羧酸雙官能基螯合吸附纖維上的分配係數範圍表

更具挑戰性的是從強酸性的王水(Aqua Regia)溶液中回收黃金(Gold, Au)。王水能溶解黃金,是黃金精煉和回收的常用溶劑,但要在這種極端pH值且離子成分複雜的環境下選擇性地分離黃金極其困難。然而,Zhang等人的研究證實偕胺肟羧酸雙官能基螯合纖維能夠在pH = 2的強酸性條件下,以高達2937 mg/g的最大吸附容量選擇性吸附金離子(以[AuCl₄]⁻形式存在),透過亞胺二肟和偕胺肟基團的協同機制,在多種其他金屬(如鉑、鈀、銅、鎳等)的干擾下仍保持極高的選擇性,製備成本僅2.54×10² 美元/kg,每公斤吸附劑可回收2.9公斤黃金。此一具體的成果,為電子廢棄物回收及貴金屬精煉領域提供了一種更環保、更具選擇性的高效技術,He等人更進一步證實該技術能直接從Intel CPU等電子廢料浸出液中成功回收黃金,其中電子設備的金濃度可達~280 g/t,遠超天然金礦石的3-30 g/t。
四、結論與展望
偕胺肟與羧酸鹽雙官能基螯合纖維技術為當代水處理與資源回收領域帶來具體進展。其核心優勢體現在三個面向:
首先,超高效吸附性能方面,偕胺肟羧酸雙官能基螯合纖維在高鹽度海水及極端酸性工業廢液中均展現極高分配係數(Kd值),能從 ppb 至 ppt 等級極低濃度溶液中精準捕捉目標金屬,效能遠超傳統離子交換樹脂。
其次,實證應用價值方面,從太平洋實地海水測試成功回收鈾與稀土元素,到實驗室高效去除工業廢水中銅、鈷等重金屬,再到從王水等苛刻介質中選擇性回收黃金與鈀金,該技術已在多個關鍵場景獲得驗證,正朝著TRL9之最後一哩路邁進。
最後,循環經濟實踐方面,此技術有效體現都市採礦精神,將電子與半導體產業廢液中有價金屬從「廢棄物」轉化為「資源」,創造顯著經濟價值並減少對原生礦產開採需求。
展望未來,偕胺肟羧酸鹽雙官能基螯合纖維技術發展潛力巨大,預期將在四個方向深化影響力:
綜上所述,偕胺肟羧酸鹽雙官能基螯合纖維技術正站在新時代起點,不僅為解決當前環境問題提供強有力武器,更為未來全球綠色供應鏈構建、戰略資源安全保障及永續發展目標實現描繪充滿希望的藍圖。隨著技術持續成熟與應用場景不斷擴展,其在全球產業生態系中的關鍵地位將日益凸顯。
五、參考文獻
空污訓練
問題1:PEDCO推估法又將堆置行為分為幾種形式?(1)裝載、卸料(2)風蝕、裝載、卸料(3)車行、風蝕、裝載、卸料(4)靜置、車行、風蝕、裝載、卸料
解答:
廢水訓練
問題2:下列有關附著生長式生物處理程序之敘述,何者錯誤?(1)對進流水中毒性物質較能忍受(2)基質利用率受質量傳輸的影響(3)通常不需污泥迴流(4)污泥產生量較多
解答:
| 懸浮生長 | 附著生長 |
| 1.微生物懸浮在反應槽內。 | 1.微生物附著在介質表面形成生物膜。 |
| 2.對進流水中毒性物質相當敏感。 | 2.對進流水中毒性物質較能忍受。 |
| 3.微生物基質利用率較不受質量傳輸的限制。 | 3.基質利用率受質量傳輸的影響,生物膜厚度會影響基質攝取量及速率。 |
| 4.需設置二級沉澱池,迴流污泥量影響反應槽內污泥濃度。 | 4.反應槽操作不受二級沉澱池操作效果的影響,通常不需污泥迴流;有時可不須設置二級沉澱池 |
| 5.以去除有機物及硝化為主要目的,適當組合可發揮除磷及脫硝功能。 | 5.以去除有機物及硝化為主要目的,亦有部分脫硝功能。 |
| 6.污泥產生量較多。 | 6.污泥產生量較少。 |
廢棄物訓練
問題3:下列何種污染的土壤適用於循環式流體化床焚化爐?(1)有機物(2)重金屬(3)無機物(4)以上皆是
解答:
※環保專責及技術人員訓練開班日期及班期聯絡人請逕至以下開班資訊網頁查詢https://record.moenv.gov.tw/NERAWEB/Voucher/wFrmRecent.aspx
*報名資格請參考:「環境保護專責及技術人員訓練管理辦法」
https://oaout.moenv.gov.tw/law/LawContent.aspx?id=GL0060546
環保證照訓練開班查詢
※環境教育訓練/研習開班日期及班期聯絡人請逕至以下開班資訊網頁查詢
環境教育認證系統-認證課程查詢:
https://neecs.moenv.gov.tw/Home/EPTIClassQuery/Certification
環境教育認證課程查詢